
Kinh doanh kém sắc, thị giá cổ phiếu ANV vẫn ‘miệt mài’ tăng
Mặc dù doanh thu tăng trưởng nhưng gánh nặng chi phí khiến lợi nhuận của CTCP Nam Việt (Navicorp, mã chứng khoán: ANV) giảm mạnh so với cùng kỳ. Trái ngược với kết quả kinh doanh không được "tươi tắn", trên thị trường chứng khoán, cổ phiếu ANV lại đang trên đà tăng mạnh.
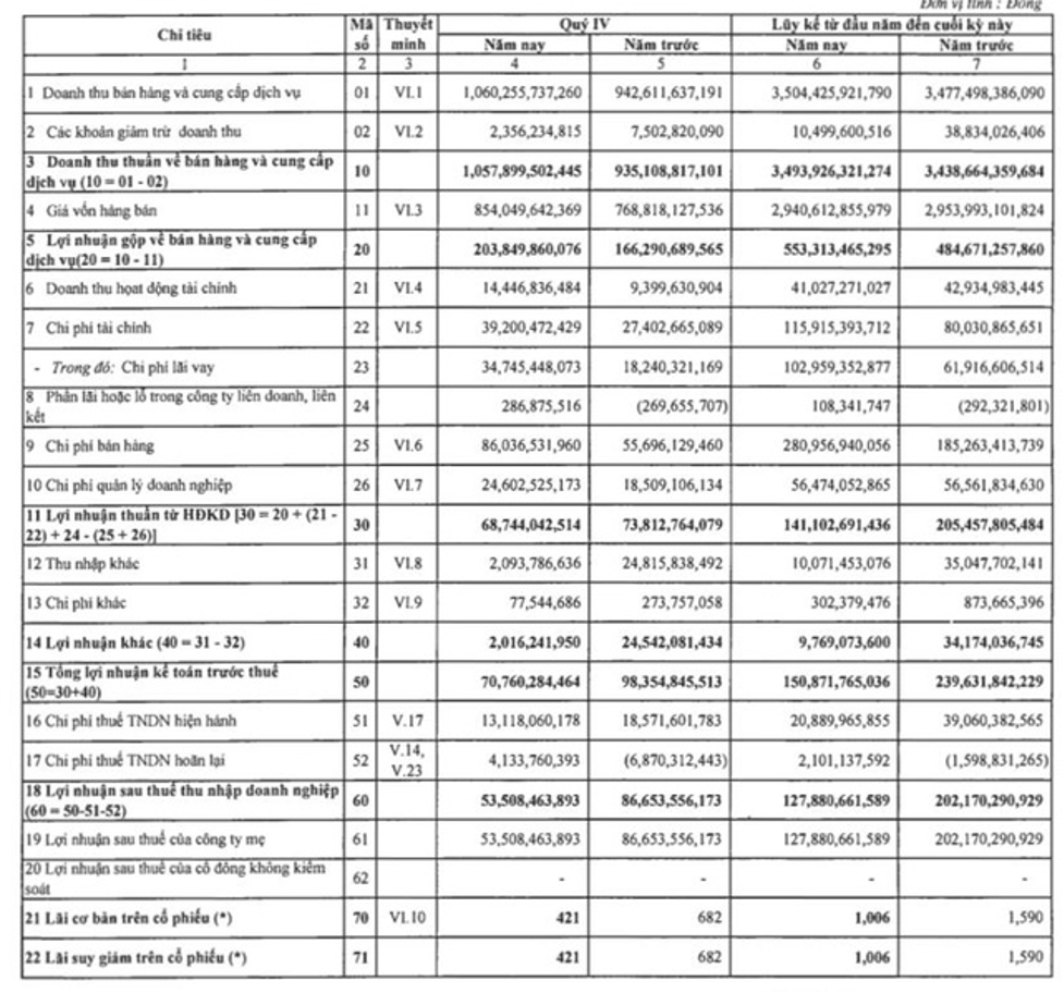
Báo cáo kết quả kinh doanh năm 2021 cho thấy, doanh thu cũng như lợi nhuận gộp của Navicorp đều tăng so với năm 2020, nhưng lợi nhuận sau thuế cả năm lại sụt giảm do hàng loạt chi phí gia tăng.
Lợi nhuận bị "ăn mòn"
Theo báo cáo tài chính hợp nhất quý IV/2021 cho năm tài chính kết thúc ngày 31/12/2021, công ty ghi nhận doanh thu thuần và lãi gộp quý cuối năm 2021 tăng lần lượt 13% và 22,5% so với quý IV/2020.
Doanh thu tài chính trong quý này của Navicorp tăng hơn 53% so với cùng kỳ, song chi phí lãi vay cũng bật tăng mạnh (tăng 90%) từ 18,2 tỷ đồng lên 34,7 tỷ đồng.
Thêm vào đó, chi phí bán hàng và chi phí quản lý doanh nghiệp quý IV/2021 cũng tăng lần lượt 54,4% và 33% so với quý IV/2020 nên quý cuối năm 2021, Navicorp ghi nhận lãi ròng chỉ bằng 62% so với cùng kỳ khi đạt 53,5 tỷ đồng.
Cụ thể, chi phí bán hàng quý IV/2021 của Navicorp ở mức hơn 86 tỷ đồng; trong đó có hai khoản chi tăng mạnh nhất là chi phí vận chuyển với 61 tỷ đồng (tăng gấp 2,1 lần so với cùng kỳ năm 2020) và hơn 73 tỷ đồng chi phí vật liệu, bao bì (tăng gấp 4,3 lần).
Còn trong 24,6 tỷ đồng chi phí quản lý doanh nghiệp ở quý gần nhất, công ty ghi nhận phí vật liệu quản lý tăng 4 lần, phí đồ dùng văn phòng tăng 3 lần và dự phòng khoản phải thu khó đòi hơn 8,3 tỷ đồng (tăng 87% so với quý IV/2020).
Tính đến cuối năm 2021, tổng tài sản của Navicorp tăng nhẹ so với đầu năm (lên 4.886 tỷ đồng); trong đó gần 60% là tài sản ngắn hạn.
Nợ phải trả của công ty cũng tăng nhẹ lên 2.551 tỷ đồng bao gồm 2.047 tỷ đồng vay và nợ thuê tài chính (trong đó, vay và nợ thuê tài chính dài hạn tăng 32%, vay và nợ thuê tài chính ngắn hạn tăng 9% so với đầu năm 2021).
Lợi nhuận sau thuế chưa phân phối đến cuối kỳ nhích nhẹ (1 tỷ đồng) so với đầu năm ngoái, lên 1.065 tỷ đồng.
Năm 2021, Navicorp đặt mục tiêu doanh thu đạt 3.900 tỷ đồng và lãi trước thuế đạt 250 tỷ đồng. Như vậy, kết thúc năm 2021, công ty đã thực hiện được 90% kế hoạch doanh thu và 60% kế hoạch lợi nhuận 2021.
Thị giá tăng 52%
Trái ngược với kết quả kinh doanh “ảm đạm”, trên sàn chứng khoán, cổ phiếu ANV lại liên tục ghi nhận mức tăng trưởng mạnh mẽ.
Ngày 10/3, hòa chung nhịp đập mạnh mẽ của nhóm ngành thủy sản, cổ phiếu ANV kết phiên trong sắc tím. Như vậy, tính từ mức giá 27.200 đồng/cp ngày 7/2, thị giá cổ phiếu ANV đã tăng 52% lên 41.350 đồng/cp trong vòng hơn 1 tháng.
Trước đó, sau một năm tăng giá mạnh, từ đầu năm 2022 đến chốt phiên ngày 28/1, cổ phiếu ANV bị điều chỉnh giảm 24%.
Navicorp là đơn vị chuyên sản xuất thủy sản với sản phẩm chủ lực là cá tra. Theo đó, cổ phiếu ANV đang được hưởng lợi từ "sóng" thủy sản do sự lạc quan đối với ngành thuỷ sản trong 2 tháng đầu năm 2022.
Thống kê cho thấy, giá trị xuất khẩu cá tra tăng 83% so với cùng kỳ, nhờ sự tăng lên của cả sản lượng và giá xuất khẩu. Theo Hiệp hội Chế biến và xuất khẩu thủy sản Việt Nam (VASEP), trong tháng 1/2022, giá trị xuất khẩu thủy sản sang Mỹ, EU và Trung Quốc tăng mạnh lần lượt 82%, 64% và 62% so với cùng kỳ.
Cùng với sự phục hồi kinh tế trên toàn cầu, nhu cầu đối với các sản phẩm thủy sản tiếp tục tăng trở lại do dịch vụ ăn uống phục hồi và doanh số bán lẻ vẫn đạt mức cao mới. Trong khi nhu cầu của Mỹ tiếp tục tăng, thị trường Trung Quốc và EU có dấu hiệu phục hồi mạnh mẽ sau một năm giảm.
Ngoài ra, xung đột Nga – Ukraine làm cho ngành thủy sản ở Nga đã gặp không ít khó khăn do các biện pháp trừng phạt, cũng giúp thị phần nới rộng hơn với Việt Nam.
Năm 2021, doanh số cá minh thái phi lê của Nga đạt 76.000 tấn, trị giá 247 triệu USD và doanh số cá tuyết đạt 34.200 tấn, trị giá 239,5 triệu USD; trong khi đó, giá trị xuất khẩu cá tra của Việt Nam đạt 1,6 tỷ USD với 800.000 tấn. Trung Quốc là nhà nhập khẩu lớn nhất các sản phẩm cá thịt trắng của Nga, và nhiều khả năng việc thiếu hụt cá phi lê của Nga sẽ là cơ hội cho cá tra của Việt Nam, bởi mức giá cạnh tranh hơn.
Đáng chú ý, trong khi thị giá cổ phiếu đang trên đà tăng trưởng mạnh mẽ, lãnh đạo của Navicorp thay nhau bán ra cổ phần. Cụ thể, từ đầu tháng đến ngày 8/3, ông Trần Minh Cảnh, Phó tổng giám đốc Nam Việt đăng ký bán toàn bộ cổ phần ANV đang nắm giữ, tương ứng 20.000 cổ phiếu. Giao dịch dự kiến thực hiện từ ngày 11/3 đến ngày 9/4/2022.
Đầu tháng 3/2022, bà Doãn Hải Phượng, Thành viên HĐQT độc lập Nam Việt cũng đăng ký bán toàn bộ cổ phần ANV đang nắm giữ, tương ứng 50.100 cổ phiếu. Giao dịch dự kiến thực hiện từ ngày 7/3 đến ngày 3/4/2022.
Tính chung từ đầu năm đến nay, các lãnh đạo, người có liên quan của lãnh đạo Nam Việt đăng ký bán 112.900 cổ phiếu.
Mới đây, Navicorp đã thông qua quyết nghị góp vốn thành lập công ty bất động sản, mang tên Công ty TNHH MTV Bất động sản Nam Việt.
Được biết, Bất động sản Nam Việt được cấp giấy chứng nhận đăng ký kinh doanh vào ngày 9/3/2022, địa chỉ tại TP. Long Xuyên, tỉnh An Giang.
Người đại diện sẽ là ông Doãn Chí Thiên (1989), tổng vốn góp là 81 tỷ đồng, tương đương 100% vốn. Ông Thiên là con trai ông Doãn Tới, Phó chủ tịch HĐQT kiêm Tổng giám đốc Nam Việt.
Với mảnh ghép mới, Nam Việt nâng số lượng công ty con trong hệ thống lên 7 đơn vị, tỷ lệ sở hữu đều là 100%.
Cũng trong ngày 9/3, Navicorp công bố thông tin về việc bổ nhiệm ông Nguyễn Thanh Liêm giữ chức Phó tổng giám đốc công ty.
Hải Giang

"Sếp lớn" Viettel, Vietcombank, PVN, T&T và chồng các Hoa hậu đồng loạt tranh cử Đại biểu Quốc hội khóa XVI và đại biểu HĐND các cấp nhiệm kỳ 2026 –2031
Loạt sản phẩm của Unilever bị thu hồi vì chứa chất cấm, gọi tên TRESemmé, Dove và Paula’s Choice
Ngân hàng đối mặt nghịch lý tăng trưởng và áp lực "bộ đệm vốn"

Giá cà phê tăng 800 đồng/kg, tạo tín hiệu tích cực cho thị trường
Hàng không toàn cầu gián đoạn vì căng thẳng Trung Đông
Cục Thuế mời doanh nghiệp, người dân nói thẳng khó khăn về thuế
Trái phiếu doanh nghiệp đầu năm 2026: Thị trường "ngủ đông" và cú sốc từ 3 cái tên bị chuyển hồ sơ sang Bộ Công an
Công tác chuẩn bị bầu cử đại biểu Quốc hội và đại biểu Hội đồng nhân dân nhiệm kỳ 2026-2031
Công tác chuẩn bị bầu cử đại biểu Quốc hội và đại biểu Hội đồng nhân dân nhiệm kỳ 2026 – 2031 đang được triển khai đồng bộ, chặt chẽ, bảo đảm đúng quy định pháp luật và yêu cầu về cơ cấu, thành phần.
Đừng bỏ lỡ
HTX nông nghiệp nâng tầm giá trị nông sản địa phương
Trong bối cảnh sản xuất nông nghiệp còn manh mún, đầu ra thiếu ổn định, nhiều HTX nông nghiệp trên địa bàn tỉnh Cao Bằng đang từng bước khẳng định vai trò “bà đỡ” cho nông sản địa phương.






























