
Thuế quan của Tổng thống Donald Trump được tính toán như thế nào?
Tổng thống Mỹ Donald Trump đã đề xuất áp thuế 10% đối với hầu hết hàng hóa nhập khẩu vào Mỹ, đồng thời tăng thuế cao hơn đối với những quốc gia mà ông coi là "vi phạm nghiêm trọng".
Tuy nhiên, câu hỏi đặt ra là: Các mức thuế này được tính toán như thế nào? Liệu chúng có dựa trên các nguyên tắc thương mại quốc tế hay không? Theo phân tích của BBC Verify, công thức tính thuế của ông Trump không phản ánh các tiêu chuẩn thương mại truyền thống mà thay vào đó được xây dựng dựa trên một phép tính đơn giản nhưng gây nhiều tranh cãi.
Công thức tính thuế quan của ông Trump
Thông thường, thuế nhập khẩu được thiết lập dựa trên các yếu tố như: Mức thuế hiện hành giữa các quốc gia; Các rào cản phi thuế quan, như quy định và tiêu chuẩn kỹ thuật; Tình hình cạnh tranh giữa các ngành hàng.
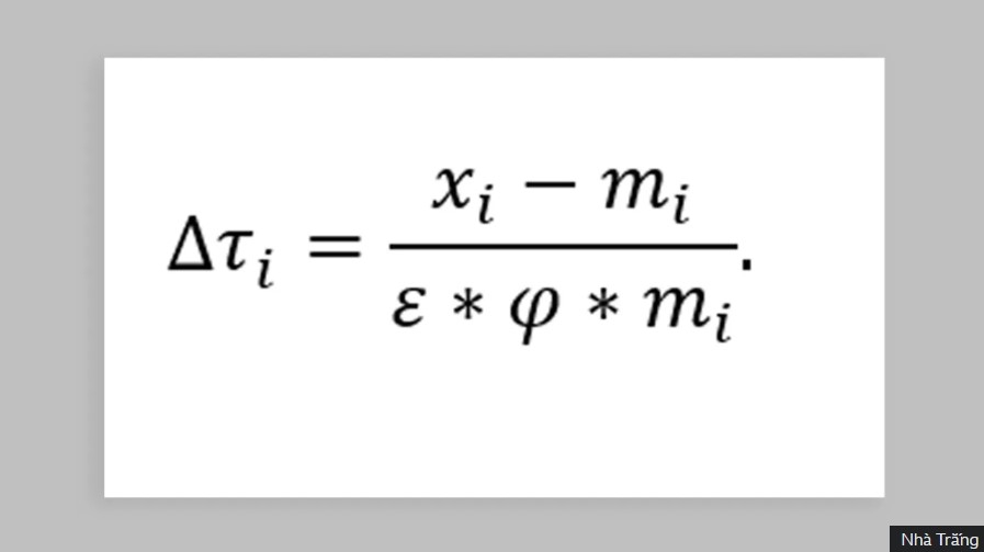
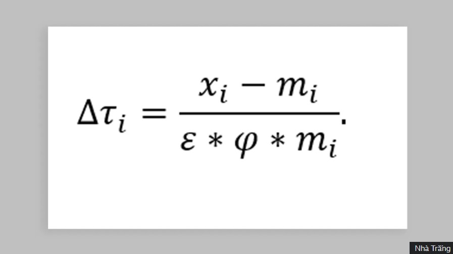
Tuy nhiên, công thức mà Nhà Trắng đưa ra dưới thời ông Trump lại đơn giản hơn rất nhiều. Theo đó, mức thuế đối với một quốc gia sẽ được tính bằng:
Lấy mức thâm hụt thương mại hàng hóa của Mỹ với quốc gia đó. Chia cho tổng giá trị hàng hóa nhập khẩu từ quốc gia đó vào Mỹ. Chia tiếp kết quả cho hai và làm tròn lên.
Ví dụ, Mỹ có thâm hụt thương mại hàng hóa với Trung Quốc là 295 tỷ USD, trong khi tổng giá trị hàng hóa Mỹ nhập khẩu từ Trung Quốc là 440 tỷ USD.
Công thức sẽ là:
Như vậy, mức thuế áp dụng cho Trung Quốc sẽ là 34%.
Tương tự, với Liên minh châu Âu (EU), công thức này đưa ra mức thuế 20%.
Công thức này có hợp lý không?
Nhiều chuyên gia kinh tế đã chỉ ra rằng cách tính thuế này không phản ánh nguyên tắc thương mại có đi có lại. Theo nguyên tắc thông thường, mức thuế giữa các quốc gia thường dựa trên sự tương xứng (reciprocity), tức là các nước sẽ áp dụng mức thuế tương đương đối với nhau, có tính đến cả các rào cản phi thuế quan như tiêu chuẩn kỹ thuật và quy định nhập khẩu.
Tuy nhiên, công thức của ông Trump lại không dựa trên mức thuế mà các nước đang áp lên hàng hóa Mỹ, mà chỉ tập trung vào việc xóa bỏ thâm hụt thương mại song phương của Mỹ với từng quốc gia riêng lẻ. Điều này có nghĩa là:
Nếu Mỹ nhập khẩu nhiều hơn xuất khẩu từ một nước, nước đó sẽ bị áp thuế cao.
Nếu Mỹ xuất khẩu nhiều hơn nhập khẩu, lý thuyết là mức thuế sẽ thấp hơn hoặc không có thuế.
Tuy nhiên, trên thực tế, ngay cả những quốc gia không có thâm hụt thương mại với Mỹ cũng bị áp thuế. Ví dụ, Anh không có thâm hụt thương mại hàng hóa với Mỹ, nhưng vẫn bị áp thuế 10%. Điều này cho thấy rằng chính sách thuế của Trump không chỉ đơn thuần dựa trên số liệu thương mại mà còn mang yếu tố chính trị và bảo hộ kinh tế.
Ngoài ra, nhiều nhà kinh tế cho rằng cách tính thuế này không tính đến các yếu tố khác ảnh hưởng đến thương mại, chẳng hạn như:
Sự khác biệt trong chi phí sản xuất khiến một số mặt hàng được sản xuất rẻ hơn ở nước ngoài nhờ chi phí lao động thấp hoặc điều kiện tự nhiên thuận lợi, chẳng hạn như nông sản từ các nước nhiệt đới.
Cầu tiêu dùng nội địa cho thấy người tiêu dùng Mỹ có xu hướng mua hàng nhập khẩu vì giá cả cạnh tranh hơn hoặc do sản phẩm có chất lượng cao hơn.
Ảnh hưởng đến chuỗi cung ứng thể hiện ở việc nhiều công ty Mỹ phụ thuộc vào nguyên liệu và linh kiện nhập khẩu, khiến thuế quan có thể làm tăng chi phí sản xuất trong nước.
Liệu thuế quan có giúp giảm thâm hụt thương mại không?
Mục tiêu của Tổng thống Trump khi áp dụng thuế quan là giảm thâm hụt thương mại, khuyến khích sản xuất trong nước và bảo vệ việc làm cho người Mỹ. Tuy nhiên, theo các chuyên gia kinh tế, thâm hụt thương mại tổng thể của Mỹ không chỉ bị ảnh hưởng bởi thuế quan mà còn do các yếu tố mang tính cấu trúc:
Mỹ tiêu dùng nhiều hơn sản xuất nên người Mỹ chi tiêu nhiều hơn số tiền họ kiếm được, dẫn đến nhu cầu nhập khẩu hàng hóa để đáp ứng tiêu dùng.
Đồng USD mạnh khiến hàng hóa Mỹ trở nên đắt đỏ hơn trên thị trường quốc tế, làm giảm xuất khẩu trong khi gia tăng nhập khẩu.
Tự do hóa thương mại khiến Mỹ đã ký kết nhiều hiệp định thương mại tự do trong quá khứ, tạo điều kiện cho hàng hóa nước ngoài vào Mỹ với thuế suất thấp, từ đó làm tăng nhập khẩu.
Vì vậy, ngay cả khi Trump áp thuế cao lên hàng hóa nhập khẩu, điều đó không có nghĩa là Mỹ sẽ giảm được thâm hụt thương mại tổng thể. Người tiêu dùng và doanh nghiệp Mỹ có thể phải đối mặt với giá cả tăng cao, trong khi các đối tác thương mại có thể trả đũa bằng cách áp thuế lên hàng hóa Mỹ xuất khẩu.
Giáo sư Jonathan Portes của King's College London nhận định: "Đúng là thuế quan có thể làm giảm thâm hụt thương mại song phương giữa Mỹ và một số quốc gia. Nhưng rõ ràng là có rất nhiều tác động rộng lớn hơn không được tính đến trong công thức này."
Trong khi đó, chuyên gia Thomas Sampson từ Trường Kinh tế London cho rằng: "Công thức này được thiết kế ngược để hợp lý hóa việc áp thuế đối với các quốc gia mà Mỹ có thâm hụt thương mại. Không có lý do kinh tế nào để làm như vậy, và nó sẽ gây thiệt hại lớn cho nền kinh tế toàn cầu."
Thành An

Bức tranh kinh doanh ngoại hối phân hoá rõ nét tại các ngân hàng
Eximbank triển khai giải pháp thanh toán quốc tế cho doanh nghiệp lớn và FDI
Tăng tới nửa triệu đồng, giá vàng trong nước vượt 165 triệu đồng/lượng

Ngồi trên đống lửa vì ‘bán mãi không được’ căn hộ trung tâm TP.HCM
Sự kiện “Golden Summer - Mùa hè kỳ diệu” thắp bừng sức sống mới tại Vinhomes Golden City
Ai hưởng lợi nhất khi Cần Giờ trở thành cực tăng trưởng hướng biển?
Sun Group và hành trình định vị thương hiệu điểm đến văn hóa
Đại hội đại biểu toàn quốc MTTQ Việt Nam lần thứ XI qua những con số
Đại hội đại biểu toàn quốc Mặt trận Tổ quốc Việt Nam lần thứ XI, nhiệm kỳ 2026-2031 dự kiến diễn ra trong các ngày 11, 12 và 13/5/2026 tại Thủ đô Hà Nội, được đánh giá là sự kiện chính trị - xã hội quan trọng, thể hiện cho sức mạnh của khối đại đoàn kết toàn dân tộc trong kỷ nguyên mới.
Đừng bỏ lỡ
HTX Trúc Thương nâng tầm đặc sản Cà Mau
Từ những con tôm tự nhiên nơi vùng trời cực Nam Tổ quốc, HTX Trúc Thương tại xã Đầm Dơi đang từng bước nâng tầm đặc sản Cà Mau bằng hướng đi chế biến sâu và xây dựng thương hiệu OCOP. Giải Mai An Tiêm năm 2026 là dấu mốc khẳng định chất lượng và giá...
































